Estudio original que demuestra alteraciones metabólicas, estrés oxidativo e inflamación sistémica en pacientes con rosácea, apoyando un vínculo fisiopatológico con el síndrome metabólico
Lugones Editorial©
La rosácea se asocia cada vez con alteraciones sistémicas vinculadas con el síndrome metabólico, más allá de una inflamación cutánea aislada.
En este estudio original, los autores evaluaron marcadores relacionados con la resistencia a la insulina, la inflamación sistémica de bajo grado y el estrés oxidativo, junto con reguladores metabólicos circulantes, con el objetivo de explorar los mecanismos fisiopatológicos compartidos entre la rosácea y el síndrome metabólico.

Se sugiere que la rosácea podría representar una vasculopatía inflamatoria crónica en lugar de una enfermedad limitada a la piel
La rosácea es una dermatosis inflamatoria crónica caracterizada por eritema centrofacial, pápulas y pústulas, en la que participan mecanismos vasculares y neuroinmunes. La activación aberrante de la inmunidad innata -particularmente a través de TLR-2 y la catelicidina (LL-37)- promueve cascadas inflamatorias con polarización Th1/Th17 y disfunción endotelial. La participación de los ejes STING y NLRP3–IL-1β refuerza el concepto de una inflamación que podría trascender la piel.
La evidencia epidemiológica ha vinculado la rosácea con alteraciones cardiometabólicas como dislipidemia, hipertensión y disfunción endotelial. El estrés oxidativo y la inflamación crónica sistémica podrían constituir el nexo fisiopatológico entre la enfermedad cutánea y el riesgo metabólico.
En este contexto, el estudio integró índices inflamatorios hematológicos con biomarcadores oxidativo-metabólicos (SIRT1, SIRT3, visfatina e irisina) para determinar si la rosácea expresa un fenotipo inflamatorio sistémico asociado al síndrome metabólico.
Métodos
- Este estudio transversal de casos y controles incluyó a 90 adultos con rosácea clínicamente confirmada y 90 controles sanos de la misma edad que acudieron a la consulta externa de dermatología de un hospital terciario entre marzo y octubre de 2025.
- Los diagnósticos y los subtipos clínicos (eritematotelangiectásica [ETR] o papulopustulosa [PPR]) fueron establecidos por dermatólogos certificados.
- Los participantes elegibles tenían entre 18 y 65 años y no habían recibido tratamiento tópico ni sistémico en los dos meses anteriores.
- El índice de masa corporal (IMC) se calculó como peso/altura² (kg/m²), el índice cintura-cadera (ICC) como cintura/cadera y el índice cintura-altura (ICT) como cintura/altura.

El estudio integró índices inflamatorios hematológicos con biomarcadores oxidativo-metabólicos para determinar si la rosácea expresa un fenotipo inflamatorio sistémico asociado al síndrome metabólico
- Evaluaciones de laboratorio
. Tras un ayuno de 12 horas se realizaron determinaciones de glucosa, insulina, HbA1c, perfil lipídico, función renal y hepática y proteína C reactiva. La resistencia a la insulina se estimó mediante HOMA-IR y el índice triglicéridos-glucosa (TyG). El síndrome metabólico se definió según los criterios NCEP-ATP III.
. A partir del hemograma se calcularon índices inflamatorios derivados (NLR, PLR, MLR, SII, SIRI y PIV).
. Los biomarcadores oxidativo-metabólicos séricos (SIRT1, SIRT3, irisina y visfatina) se cuantificaron mediante técnicas ELISA.
Resultados
Comparación entre rosácea y controles
- Se incluyeron 180 participantes (90 con rosácea y 90 controles). Los pacientes con rosácea eran de mayor edad (mediana 42 vs. 27 años; p<0,001) y presentaron IMC e índice cintura-talla significativamente más elevados (p<0,001). La mediana de duración de la enfermedad fue de 24 meses; el 65,6% correspondió al subtipo eritematotelangiectásico (ETR) y el 52,2% presentó gravedad moderada.
- El consumo de alcohol fue menos frecuente en rosácea (p = 0,012), mientras que tabaquismo y prevalencia de síndrome metabólico fueron similares en ambos grupos (30%).
- Desde el punto de vista metabólico, el colesterol total y LDL fueron más elevados en rosácea (p<0,001), sin diferencias en glucemia en ayunas, insulina, HOMA-IR, índice TyG ni frecuencia de síndrome metabólico. La proteína C reactiva fue significativamente mayor (2,41 vs. 1,29 mg/L; p < 0,001).
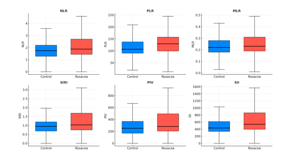
- Entre los índices inflamatorios derivados del hemograma, NLR, PLR, SII, PIV y volumen plaquetario medio (VPM) fueron significativamente más altos en rosácea, mientras que MLR y SIRI no mostraron diferencias.
- En cuanto a los biomarcadores oxidativo-metabólicos, los niveles séricos de visfatina, irisina, SIRT1 y SIRT3 fueron significativamente menores en los pacientes con rosácea (todos p ≤ 0,011).

Diagramas de caja que muestran los índices inflamatorios en los grupos con rosácea y de control
Predictores independientes de rosácea
- Tras ajustar por edad, sexo, IMC, tabaquismo, consumo de alcohol y LDL, los valores elevados de NLR, PLR y SII se asociaron de manera independiente con rosácea. El VPM mostró la asociación más fuerte (OR 7,09; IC 95%: 3,66–13,74; p < 0,001), con una precisión global del modelo del 82,2%. El PIV alcanzó significación marginal.
- Entre los marcadores oxidativo-metabólicos, únicamente SIRT1 se asoció de forma independiente con rosácea. Visfatina, irisina y SIRT3 no fueron predictores independientes. No se observó interacción significativa entre VPM y SIRT1.

Los pacientes con rosácea mostraron mayores niveles de NLR, PLR, SII, PIV, VPM, PCR y colesterol LDL (p<0,05) y menores niveles de SIRT1, SIRT3, visfatina e irisina (p<0,01)
- Rendimiento diagnóstico
En el análisis ROC, el VPM presentó la mayor capacidad discriminativa (AUC 0,827; sensibilidad 85,6%; especificidad 77,8%). NLR, PLR y SII mostraron precisión moderada.
SIRT1 exhibió un AUC < 0,5 (0,387), coherente con sus niveles disminuidos en rosácea. La combinación del VPM con índices inflamatorios mejoró la capacidad discriminativa.
- Asociación con parámetros metabólicos
La prevalencia de síndrome metabólico no difirió entre grupos (30% en ambos).
SIRT1, SIRT3 y visfatina mostraron correlaciones inversas débiles con HbA1c e índice cintura-talla; no se observaron asociaciones con HOMA-IR ni TyG. Sin embargo, estas correlaciones perdieron significación tras la corrección por comparaciones múltiples y luego de ajustar por edad, sexo e IMC.
No se observaron diferencias significativas en marcadores inflamatorios u oxidativos entre ETR y PPR, salvo un nivel más alto de colesterol HDL en el subtipo papulopustuloso.
Discusión
Este estudio sugiere que la rosácea podría asociarse con un perfil sistémico caracterizado por activación inflamatoria, alteraciones oxidativas y cambios metabólicos subclínicos. En comparación con los controles, los pacientes presentaron elevación consistente de NLR, PLR, SII, PIV, MPV y PCR, junto con mayores niveles de colesterol total y LDL. En conjunto, estos hallazgos respaldan la presencia de inflamación sistémica de bajo grado más allá de la afectación cutánea, en línea con estudios hematológicos previos.
La elevación paralela de índices neutrófilo-plaquetarios (SII, PIV, MPV) es compatible con la hipótesis de un eje tromboinflamatorio que podría contribuir a la disfunción endotelial y la reactividad vascular descritas en la rosácea. El MPV mostró la asociación independiente más fuerte y la mayor capacidad discriminativa en este conjunto de datos, aunque los análisis ROC deben interpretarse como exploratorios y requieren validación externa.

El trabajo sugiere que la rosácea podría asociarse con un perfil sistémico caracterizado por activación inflamatoria, alteraciones oxidativas y cambios metabólicos subclínicos
Desde el punto de vista oxidativo-metabólico, los niveles disminuidos de SIRT1, SIRT3, visfatina e irisina podrían ser compatibles con alteraciones en la regulación mitocondrial y el equilibrio redox. Sin embargo, tras los ajustes estadísticos y la corrección por comparaciones múltiples, estas asociaciones se atenuaron, por lo que deben considerarse generadoras de hipótesis. La ausencia de diferencias en glucemia, HOMA-IR, TyG y prevalencia de síndrome metabólico sugiere que el perfil observado no corresponde a una alteración metabólica manifiesta, sino a posibles cambios subclínicos dentro del continuo cardiometabólico.
La elevación de LDL y colesterol total, junto con PCR aumentada, es coherente con datos epidemiológicos que vinculan la rosácea con dislipidemia e hipertensión, aunque las asociaciones con diabetes han sido inconsistentes en la literatura. No se observaron diferencias relevantes entre subtipos clínicos, lo que sugiere que los perfiles inflamatorios y oxidativos sistémicos serían compartidos entre fenotipos.
Entre las limitaciones se incluyen el diseño transversal, el tamaño muestral moderado, la posible confusión residual y la ausencia de mediciones vasculares directas. No es posible establecer causalidad ni dirección temporal. Los hallazgos deben interpretarse como asociativos.
Conclusiones
Los resultados respaldan un modelo multidimensional de la rosácea que integra:
- Un eje inflamatorio-plaquetario (elevación de NLR, PLR, SII, MPV y PCR).
- Un posible eje oxidativo-metabólico (descenso de SIRT1, SIRT3, visfatina e irisina).
Estos patrones sugieren que la rosácea podría acompañarse de un perfil sistémico inflamatorio y redox más amplio, aunque las implicancias metabólicas deben considerarse exploratorias.
Biomarcadores accesibles como el MPV y el NLR podrían tener utilidad en la caracterización sistémica, pero requieren confirmación en estudios prospectivos.

Los resultados respaldan un modelo multidimensional de la rosácea que integra un eje inflamatorio-plaquetario y un posible eje oxidativo-metabólico
Rosácea y síndrome metabólico
Fuente
Esen M, Demirbaş A, Diremsizoglu E, et al. Systemic inflammatory and oxidative-metabolic alterations in rosacea: a cross-sectional case-control study. Diagnostics (Basel) 2026 Jan 12;16(2):246.








